Предмет: Алгебра,
автор: SlufyX
Помогите пожалуйста даю 40 балов
Приложения:
Ответы
Автор ответа:
1
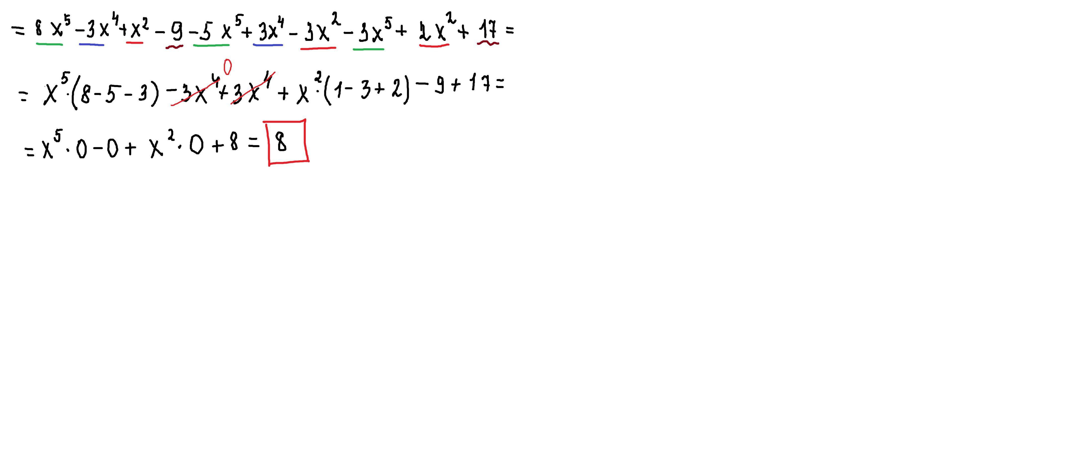
Ответ:
8 ответ не содержит переменной Х
Объяснение:
если перед скобкой стоит знак МИНУС,то при раскрытии скобок,знак слагаемых,стоящих в скобках изменяется на противоположный
я буду сразу раскрывать скобки
Приложения:
SlufyX:
Спасибо!!!
пожалуйста
Похожие вопросы
Предмет: Биология,
автор: ulavlog835
Предмет: Математика,
автор: tairovaramila940
Предмет: Физика,
автор: ikata3008
Предмет: Литература,
автор: saltanatkuanys915