Предмет: Алгебра, автор: maulejla5

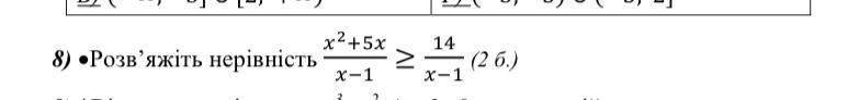
Розвʼяжіть нерівність x²+5x/x-1 ≥ 14/x-1

Приложения:

Ответы

Автор ответа: nineliko26
1

Ответ:

x ∈ [-7; 1) ∪ [2; +∞)

Объяснение:

\frac{x^{2}+5x }{x-1} \geq \frac{14}{x-1}    

\frac{x^{2} +5x-14}{x-1} \geq 0\\\left \{ {x^{2} +5x-14\geq 0} \atop {x-1 > 0}} \right.  \left \{ {{x^{2}+5x-14\leq 0} \atop {x-1 < 0}} \right.

Решим первое неравенство системы:

x^{2} +5x-14=0\\

По теореме Виета:

x_{1} =2\\x_{2} =-7

x-1 > 0\\x > 1

x ∈ [-7; 1) ∪ [2; +∞)

Приложения:
Похожие вопросы