Предмет: Математика,
автор: niyazovamaqsuda
{ 1/2-1/3} + {1/3-1/4}
Ответы
Автор ответа:
0
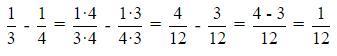
Ответ:Добрый вечер!
Пошаговое объяснение на фото.
Приложения:
Похожие вопросы
Предмет: История,
автор: Аноним
Предмет: Обществознание,
автор: ninaosmolovic
Предмет: Алгебра,
автор: hyundjinloveeee
Предмет: Физика,
автор: galinalina1967
Предмет: Математика,
автор: elnurazimahan