Предмет: Математика,
автор: dasausenko083
пожалуйста помогите!! очень срочно
Приложения:
Ответы
Автор ответа:
1
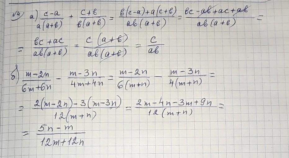
Ответ:
................
Пошаговое объяснение:
....................
Приложения:
Похожие вопросы
Предмет: Українська мова,
автор: milfachka
Предмет: Химия,
автор: vipmakogonp6hrg3
Предмет: Английский язык,
автор: murohviktoria
Предмет: Химия,
автор: tansanlofaa