Предмет: Алгебра,
автор: alesakrivosea36
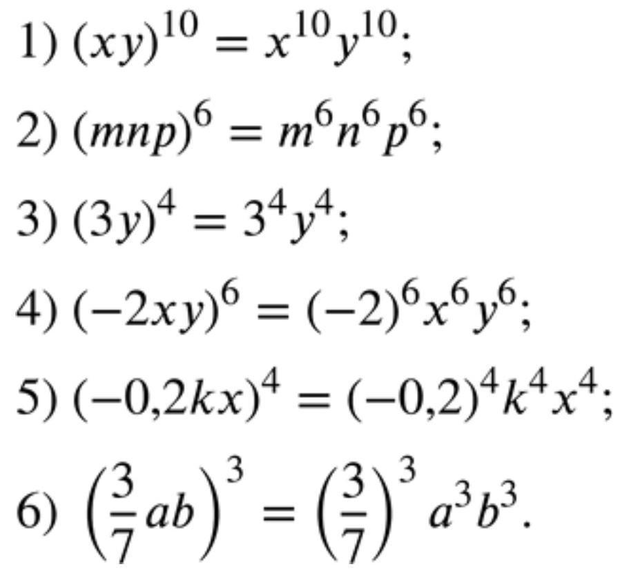
Помогите пожалуйста 58 номер сделать дам 15 балов
Приложения:
Ответы
Автор ответа:
0
Ответ:
Вот фото. (Пишу чтобы было 20 символов)
Приложения:
Похожие вопросы
Предмет: География,
автор: Faghaop20
Предмет: Алгебра,
автор: lupehakarinka
Предмет: Английский язык,
автор: arisaruduk
Предмет: Українська мова,
автор: nastiasmakouz
Предмет: Биология,
автор: 280anastasia5