Предмет: Алгебра, автор: Katja5689

Доведіть, що значення виразу не залежить від значень змінних, що входять до нього:​

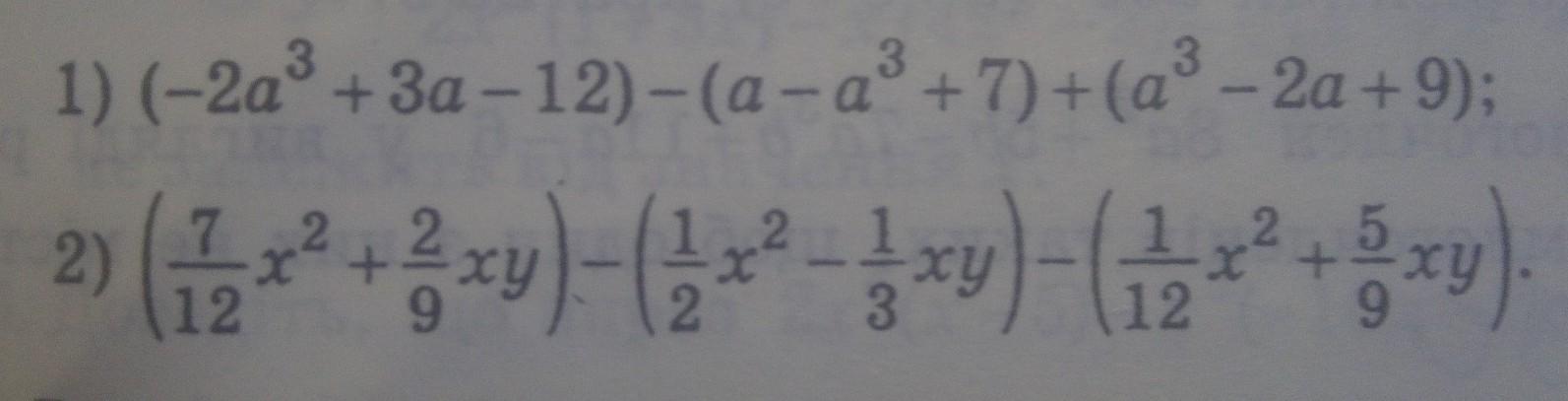
Приложения:

Ответы

Автор ответа: raspberry156
0
1) если упростить то получиться 0+0-10=-10, значит не зависит
2) равно 0
Похожие вопросы
Предмет: Математика, автор: musorinasofia957
Предмет: Математика, автор: asia198526
Предмет: Русский язык, автор: Alpenur876
видом
Прочитайте текст 2 и выполните задания 9–13.
Текст 2
(1)Каждый год огромные пространства России страдают от пожаров, которые
начинаются с безобидного поджога сухой травы. (2)Многие отвечают на запрет выжигания
травы так: «Наши предки жгли и мы будем». (3)Давайте разберёмся, откуда пошла такая
традиция и почему в Московском княжестве выжигали траву? (4)Действительно, в XVI-
XVII веках существовал указ: ежегодно по всей южной границе Московского княжества
выжигать траву, чтобы у возможной неприятельской конницы не было кормов. (5)Что
говорить — и в мирное время содержание армии требует больших расходов, а в военное
и подавно, ведь лошадям требовалось немало травы. (6)То есть выжигание травы было
своеобразным «Экологическим оружием», достаточно серьёзным
борьбы
с неприятелем. (7)Так, к сожалению, от войн во все времена страдали не только враждующие
стороны, но и та часть суши или земли, где велись боевые действия.
(8) Интересно, что войны не только уничтожали флору и фауну, но и способствовали
распространению животных и растений по свету. (9)Например, опустошающее нашествие
хана Батыя принесло с собой разрушения, гибель людей и... новые виды степных растений
(к примеру, просо и аир). (10)Теперь следы этого исторического события в виде необычных
для этих мест растений видны в пойме Оки, в Московской области и других русских землях,
где проходили кони Батыя.
(11)С тех пор прошло много веков. (12)Сегодня совершенно нет необходимости
поджигать траву. (13)Это не отпугнёт врагов, не прибавит плодородия почве, не сделает
заброшенный участок красивее, а только уничтожит растения, животных и приведёт
к пожару. (14) Огонь истощает почву, убивает полезных насекомых и уничтожает кладки
птиц. (15)От таких поджогов сгорают луга, леса, торф, страдают жители и небольших
посёлков, и крупных городов.
(По М. Орехову)




Определите и запишите основную мысль текста.
Ответ.
ребята помогите пожалуйста нужно срочно !!!!!​