Предмет: Алгебра, автор: linakonyushenko10

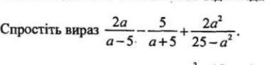
Спростіть вираз, на фото

Приложения:

Ответы

Автор ответа: pisikdanilo
0

Ответтттттттттт:

5/a-5

Автор ответа: olegandrejcenko846
1

Ответ:

 \frac{5}{a - 5}

Объяснение:

 \frac{2a}{a - 5}  -  \frac{5}{a + 5}  +  \frac{2a {}^{2} }{25 - a {}^{2} }  =  \\  =  \frac{2a(a + 5) - 5(a - 5)}{(a - 5)(a + 5)}   -  \frac{2a {}^{2} }{a {}^{2}  - 25}  =  \\  =  \frac{2a(a + 5) - 5(a - 5) - 2a {}^{2} }{a {}^{2} - 25 }  =  \\  =  \frac{2a {}^{2}  + 10a - 5a + 25 - 2a {}^{2} }{a {}^{2} - 25 }  =  \\  =  \frac{5(a + 5)}{(a - 5)(a + 5)}  =  \\  =  \frac{5}{a - 5}

Похожие вопросы
Предмет: Русский язык, автор: yuliyasoboleva65