Предмет: Физика,
автор: дпаоьапд
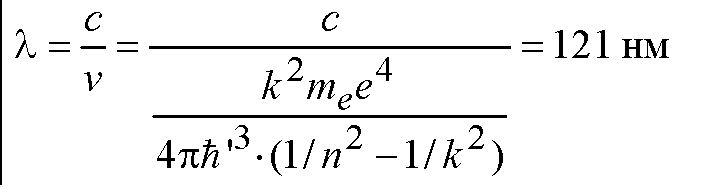
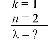
При переходе атомов из некоторого состояния в первое излучение имело длину волны 121 нм. В каком состоянии атомы находились первоначально
ПОМОГИТЕ!!!!
Ответы
Автор ответа:
0
Надеюсь,что поможет.
Приложения:
Автор ответа:
0
спасибо,а ты знаешь как ее правильно решить??
Автор ответа:
0
Не за что.Тут же на картинках все показано,первое - дано,второе - решение,третье - ответ.
Автор ответа:
0
ааа,ну спасибо)) а точно правильно?
Автор ответа:
0
Именно.Сама имею 5 по физике:)
Автор ответа:
0
спасибо :)) а можешь еще с одной помочь или нет?
Похожие вопросы
Предмет: Математика,
автор: mary02139
Предмет: История,
автор: hzhz7117092
Предмет: Алгебра,
автор: valerakrolev
Предмет: История,
автор: Аноним
Предмет: Химия,
автор: DELIRIUMTW