Предмет: Алгебра,
автор: kamereraleksandra
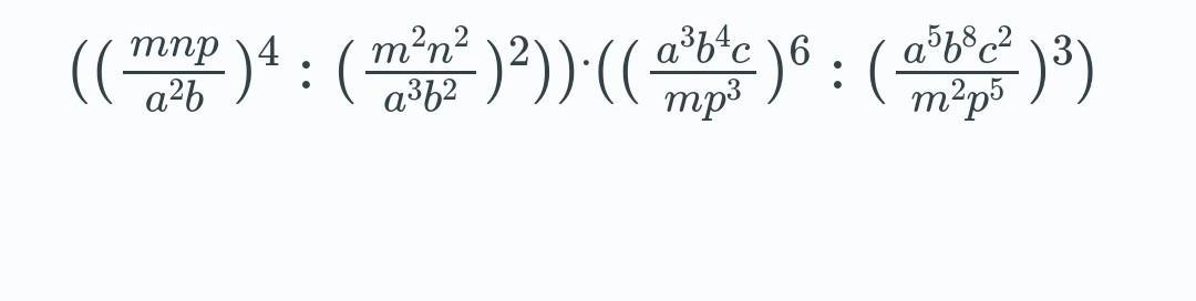
Спростіть вираз: (( mp )4 : ( a2b 2 m²n² )2)) (( азыс)6 : (3) a3b2 m2p5
Приложения:
Ответы
Автор ответа:
0
Відповідь:БУДЕ ap
Пояснення:
на фото
Приложения:
Похожие вопросы
Предмет: Английский язык,
автор: danialkusainov419
Предмет: Русский язык,
автор: jadraaxmedova
Предмет: Математика,
автор: mirkamilazizli
Предмет: Математика,
автор: linalolo83
Предмет: Математика,
автор: aknurkulkaraeva