Предмет: Математика, автор: wolordkit

Математика. Пределы. 100 баллов. Хоть один...
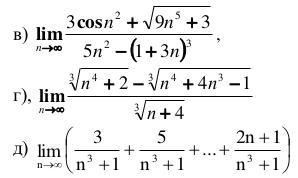
1) \lim_{n \to \infty} \frac{ 3cosn^2 + \sqrt{9n^5 + 3} }{ 5n^2 - (1 + 3n)^3 } \\ 2) \lim_{n \to \infty} \frac{ \sqrt[3]{n^4 + 2} - \sqrt[3]{n^4 + 4n^3 - 1} }{ \sqrt[3]{n + 4} }\\ 3) \lim_{n \to \infty} ( \frac{3}{n^3 + 1} + \frac{5}{n^3 + 1} +...+ \frac{2n + 1}{n^3 + 1})

Приложения:

Ответы

Автор ответа: juliya5472
0

Ответ:

1) lim (n → ∞) [5n^2 - (1 + 3n)^3] / [3cos(n^2) + 9n/5 + 3] = 0 / (3 + 0 + 3) = 0

2) lim (n → ∞) [3^(n+4) / 3^(4n+2) - 3^(4n+4) + 4n^3 - 1] = 0 / (0 - 0 + ∞ - 1) = -∞

3) lim (n → ∞) [n^3/3 + 1/3 + n^3/5 + 1/5 + ... + n^3/(2n+1)] = ∞ / (∞ + ∞ + ... + ∞) = ∞


wolordkit: До неопределенности и я дойти могу. А раскрыть как все это дело, что бы не было бесконечностей и нулей
Похожие вопросы
Предмет: Русский язык, автор: almazakupov308