Предмет: Алгебра, автор: fctdgsygfdhngfxzgsac

Знайти границі послідовності.

Приложения:

Ответы

Автор ответа: 7x8
1

Ответ:

\displaystyle 2,5

Объяснение:

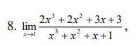
\displaystyle \lim_{x\to 1}\frac{2x^3+2x^2+3x+3}{x^3+x^2+x+1}=\lim_{x\to 1}\frac{2x^2(x+1)+3(x+1)}{x^2(x+1)+x+1}=\lim_{x\to 1}\frac{(x+1)(2x^2+3)}{(x+1)(x^2+1)}=\\\\\\\lim_{x\to 1}\frac{2x^2+3}{x^2+1}=\frac{2\cdot 1^2+3}{1^2+1}=\frac{2\cdot 1+3}{1+1}=\frac{2+3}{1+1}=\frac{5}{2}=2,5


fctdgsygfdhngfxzgsac: дякую)
Похожие вопросы
Предмет: Другие предметы, автор: oagu47mno
Предмет: Английский язык, автор: pelimen228