Предмет: Математика,
автор: vika32799
Составьте выражения и вычислите их значения
Приложения:
Ответы
Автор ответа:
4
Ответ:
Если вам помог ответ отметьте пожалуйста как лучший ответ
заранее спасибо
Приложения:
kirillu2022:
спасибо
Автор ответа:
2
Пошаговое объяснение:
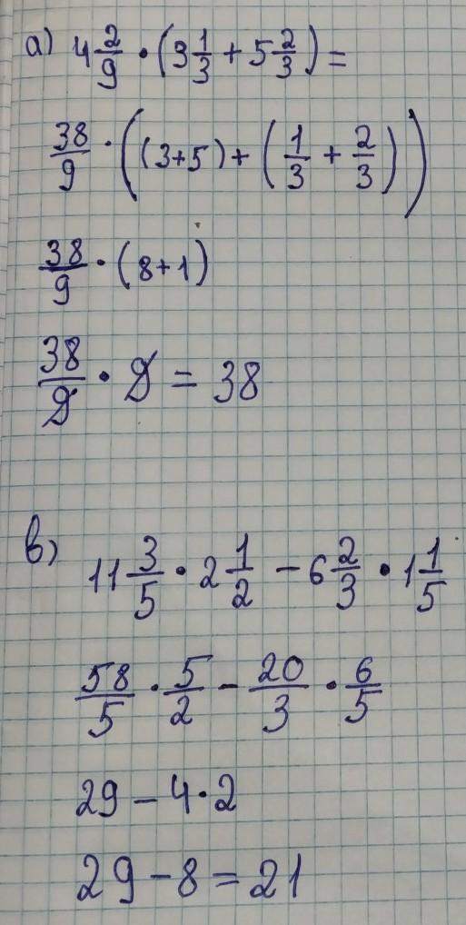
а) а = 3 1/3; в = 5 2/3
4 2/9 * (а + в) = 4 2/9 * (3 1/3 + 5 2/3) =
4 2/9 * 8 3/3 = 38/9 * 9 = 38/1 * 1 = 38/1 = 38
б) а = 2 1/2; в = 1 1/5
11 3/5 * а - 6 2/3 * в = 11 3/5 * 2 1/2 - 6 2/3 * 1 1/5 =
58/5 * 5/2 - 20/3 * 6/5 = 29/1 * 1/1 - 4/1 * 2/1 =
29/1 - 8/1 = 29 - 8 = 21
Похожие вопросы
Предмет: Физика,
автор: katya396277
Предмет: Физкультура и спорт,
автор: BroulStarser666
Предмет: Другие предметы,
автор: oagu47mno
Предмет: Химия,
автор: Аноним
Предмет: Алгебра,
автор: dima88384