Предмет: Алгебра,
автор: minichvika2010
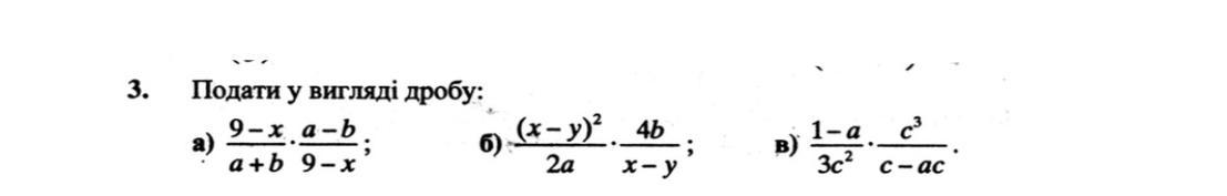
помощьььььььььььььььььь
Приложения:
Ответы
Автор ответа:
1
Можеш відмітити найкращою відповідю якщо підійде
Приложения:
lewik2gordi7:
Ну відміть кращою пж
Похожие вопросы
Предмет: Литература,
автор: Gulna1772
Предмет: Українська література,
автор: lirakorallova2919
Предмет: Русский язык,
автор: MAOOLOKS5730
Предмет: Русский язык,
автор: Аноним
Предмет: Информатика,
автор: tataerina