Предмет: Математика,
автор: gumenliza11
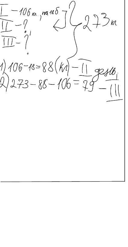
5. За три дні магазин продав 273 кг цукерок. За перший день продали 106 кг, що на 18 кг більше, ніж за другий. Скільки цукерок було продано за третій день?
НУЖНА СХЕМА ЭТОЙ ЗАДАЧИ РОЗВ ' Я ЗАННЯ ВЖЕ Є ТРЕБА СМЕХА СРОЧНО ОТВЕТЬТЕ ПЖЖЖЖЖЖ
Ответы
Автор ответа:
1
Ответ:
79 кг цукерок було продано за третій день
Приложения:
Автор ответа:
0
43кг объяснение 273-(106+124)=43 кг
asanmiriam52:
273-(106+88)=89 ошиблась
Похожие вопросы
Предмет: Қазақ тiлi,
автор: nastamusaeva390
Предмет: Математика,
автор: arlantigozin
Предмет: Другие предметы,
автор: olgastudzinska55
Предмет: Русский язык,
автор: ilapercev5267
Предмет: Информатика,
автор: companyvvv111