Предмет: Алгебра,
автор: polinamorozova473
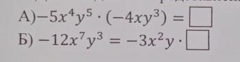
3. Для каждого из представленных равенств заполните пропуски
ПОМОГИТЕ ПОЖАЛУЙСТА
Приложения:
Ответы
Автор ответа:
2
Объяснение:
A) 1xy\1
б)6xy\3
всю вот и отве да правильна вродебь
Похожие вопросы
Предмет: Литература,
автор: olalsnchyk13
Предмет: Математика,
автор: avaktai
Предмет: Право,
автор: tihonchykdasha
Предмет: Английский язык,
автор: filinovaalyona357
Предмет: Химия,
автор: vestix109