Предмет: Математика,
автор: diloromhon21031984
Помогите решить дробь номер 307
Пожалуйста
Приложения:
kbasenko59:
Який саме?
Ответы
Автор ответа:
2
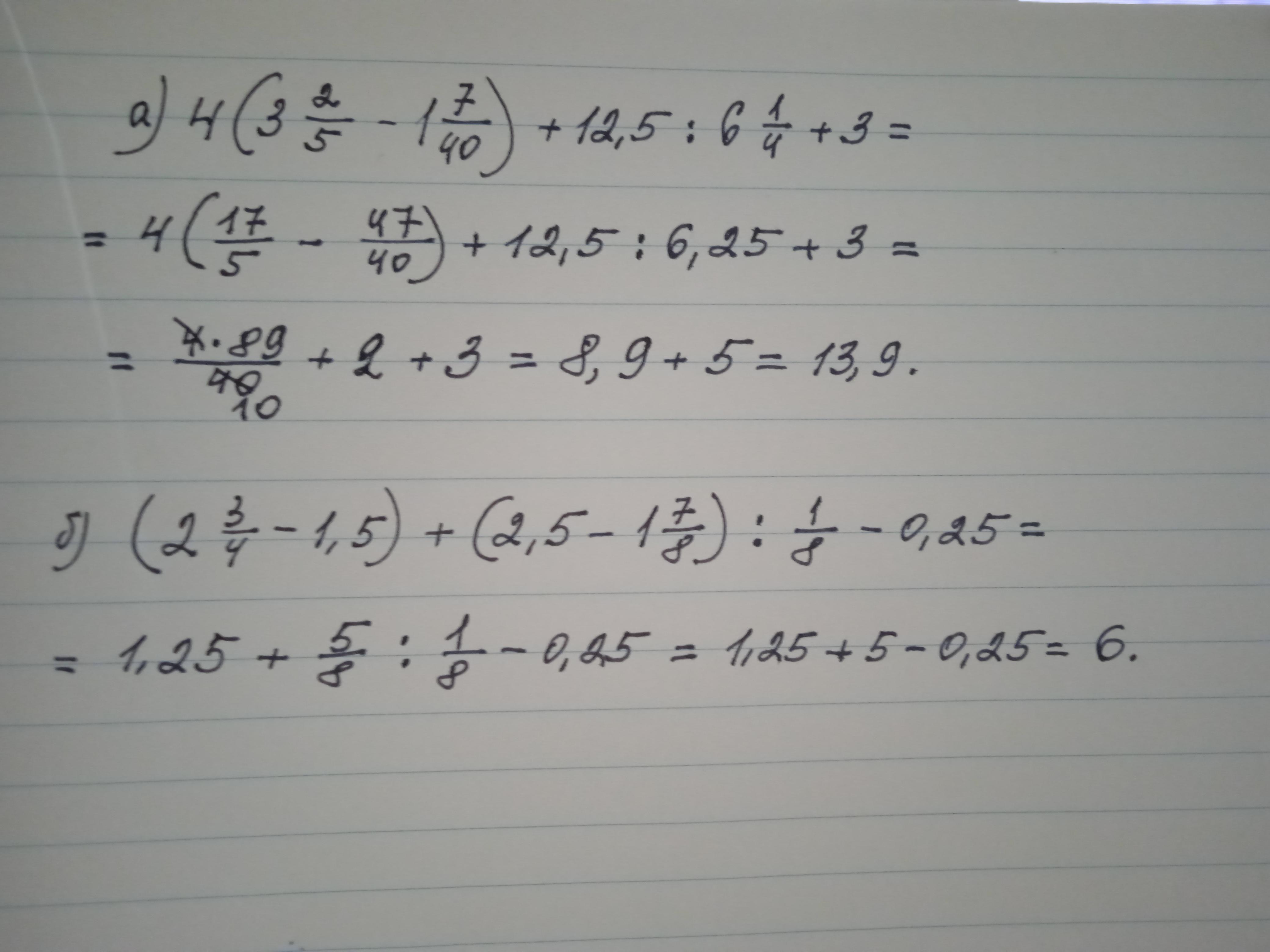
Ответ:
на фото
Пошаговое объяснение:
Приложения:
Автор ответа:
1
Пошаговое объяснение:
а
1) 3 2/5 - 1 7/40 = 3 16/40 - 1 7/40 = 2 9/40
2) 4 * 2 9/40 = 4 * 89/40 = 1 * 89/10 = 89/10 = 8,9
3) 12,5 : 6 1/4 = 12,5 : 6,25 = 2
4) 8,9 + 2 + 3 = 13,9
б
1) 2 3/4 - 1,5 = 2,75 - 1,5 = 1,25
2) 2,5 - 1 7/8 = 2,5 - 1,875 = 0,625
3) 0,625 : 1/8 = 0,625 : 0,125 = 5
4) 1,25 + 5 - 0,25 = 6
Похожие вопросы
Предмет: Математика,
автор: stols28
Предмет: Математика,
автор: katia7822
Предмет: Українська мова,
автор: qwersi229
Предмет: Алгебра,
автор: Elenastar131415
Предмет: Математика,
автор: krylovaulia516