Предмет: Алгебра,
автор: vearrey
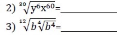
Спростіть вирази 2 і 3:
Приложения:
Ответы
Автор ответа:
0
2)
3)
Похожие вопросы
Предмет: Математика,
автор: Faiergamesbloger23
Предмет: Математика,
автор: kamolasharafutdinova
Предмет: Алгебра,
автор: fantomorlik
Предмет: Английский язык,
автор: atazhan2907
Предмет: Другие предметы,
автор: turninanina4