Предмет: Алгебра, автор: zefirk79

❗️ДАЮ 50Б❗️
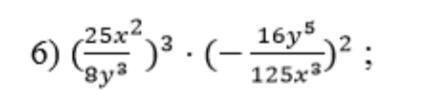
Виконати дії:

(25х^2/8у^3)^3*(-16у^5/125х^3)^2

Приложения:

Ответы

Автор ответа: poczatek
0

Ответ: \frac{1}{2}y

Объяснение:

\frac{25x^2}{8y^3}^3-\frac{16y^5}{125x^3}^3\\ \frac{15625x^6}{512y^9}*\frac{256y^{10} }{15625x^6}\\ \frac{x^6}{512y^9} *\frac{256y^{10} }{x^6}\\ \frac{1}{512y^9}*256y^{10}\\ \frac{1}{512}*256y\\ \frac{1}{2}y


zefirk79: Варианти відповідей: А) 2у; Б) у/2х; В) 1/2; Г) у/2.
zefirk79: Яка з них
poczatek: А)
Автор ответа: parus77
1

Ответ:

(1/2) *у

Объяснение:

Приложения:
Похожие вопросы
Предмет: Математика, автор: ivanfusic856
Предмет: Английский язык, автор: natalya840919