Предмет: Алгебра,
автор: apolinaria201186
Хелп плиз пж:") буду благодарна
Приложения:
Ответы
Автор ответа:
1
Объяснение:
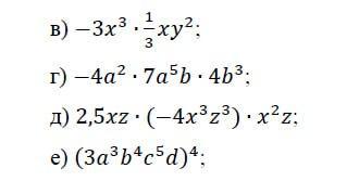
1) - 3х³ × 1/3 ху² = - 1х⁴у² = - х⁴у²
2) - 4а² × 7а⁵b × 4b³ = - 112а⁷b⁴
3) 2,5хz × ( - 4х³z³) × х²z = - 10х⁶z⁵
4) (3а³b⁴с⁵d)⁴ = 81а¹²b¹⁶с²⁰d⁴
apolinaria201186:
Спасибо огромное!
Похожие вопросы
Предмет: Английский язык,
автор: domirbekova278
Предмет: Английский язык,
автор: royalmetro860
Предмет: Информатика,
автор: MrTortick
Предмет: Английский язык,
автор: rozita8686
Предмет: Математика,
автор: alinazhilocch