Предмет: Алгебра,
автор: zhaksylykerasyl08
алгебра срочно плзззз
Приложения:
Ответы
Автор ответа:
1
Ответ:
ответ ниже
Объяснение:
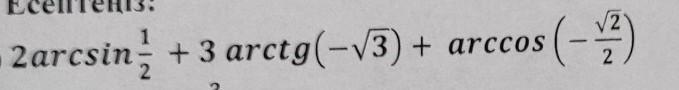
2arcsin1/2 + 3arctg(−√3) + arccos(−√2/2) = ?
Для решения уравнения нам нужно знать значения обратных тригонометрических функций.
arcsin 1/2 = π/6 arctg (-√3) = -π/3 arccos (-√2/2) = π - arccos √2/2 = π-π/4 = 3π/4.
Теперь подставим значения в уравнение:
2 * π/6 + 3 * (-π/3) + 3π/4 = π/3 - π + 3π/4 = -10π/12 + 9π/12 = -π/12.
Ответ: -π/12.
Похожие вопросы
Предмет: Биология,
автор: ruslanka2011p
Предмет: Обществознание,
автор: maksimmedveckij7
Предмет: Алгебра,
автор: irunka0721
Предмет: Литература,
автор: dusenovamarina83
Предмет: География,
автор: diasbeketaev49