Предмет: Алгебра, автор: fctdgsygfdhngfxzgsac

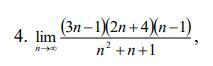
Знайти границі послідовності.

Приложения:

Alnadya: ответ: lim ... = ∞
fctdgsygfdhngfxzgsac: а можете решить пожалуйста?
Alnadya: на это правило вам уже нарешали кучу примеров , пора бы уже самостоятельно решать ... это, между прочим , устные примеры ...
fctdgsygfdhngfxzgsac: прости я все равно не понимаю, можете помочь пожалуйста?
fctdgsygfdhngfxzgsac: у меня в профиле ето и еще задание 6 остались, прошу помогите
Alnadya: а здесь понимать нечего... делите на старшую степень , n^3

Ответы

Автор ответа: 7x8
1

\displaystyle  \lim_{n\to \infty}\frac{(3n-1)(2n+4)(n-1)}{n^2+n+1}=\\\\\lim_{n\to \infty}\frac{(6n^2+12n-2n-4)(n-1)}{n^2+n+1}=\\\\\lim_{n\to \infty}\frac{(6n^2+10n-4)(n-1)}{n^2+n+1}=\\\\

\displaystyle\lim_{n\to \infty}\frac{6n^3-6n^2+10n^2-10n-4n+4}{n^2+n+1}=\\\\\lim_{n\to \infty} \frac{6n^3+4n^2-14n+4}{n^2+n+1}=\\\\\lim_{n\to \infty}\frac{n^3(\frac{6n^3}{n^3}+\frac{4n^2}{n^3}-\frac{14n}{n^3}+\frac{4}{n^3})}{n^2(\frac{n^2}{n^2}+\frac{n}{n^2}+\frac{1}{n^2})}=\\\\\lim_{n\to \infty}\frac{n(6+\frac{4}{n}-\frac{14}{n^2}+\frac{4}{n^2})}{1+\frac{1}{n}+\frac{1}{n^2}}=+\infty


fctdgsygfdhngfxzgsac: спасибо большое)
fctdgsygfdhngfxzgsac: можете пожалуйста еще 6 задание сделать?
Похожие вопросы
Предмет: Математика, автор: vikakosh2009