Предмет: Қазақ тiлi,
автор: Ilia6Bi
помогите срочноооооооооооооооооооооооооооооооооооо\
Приложения:
Ответы
Автор ответа:
1
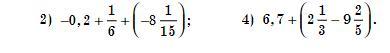
Ответ:вот ответ на фото можете .
Объяснение:
Приложения:
Ilia6Bi:
Молодец
Похожие вопросы
Предмет: Биология,
автор: ajslu109
Предмет: Английский язык,
автор: emma3143
Предмет: Физика,
автор: 12344lusenko
Предмет: Алгебра,
автор: veronikagulivets
Предмет: Алгебра,
автор: danavo1102