Предмет: Математика,
автор: tsgjgwdjgdw
ДАМ ВСЕ БАЛЛЫ МАТЕМАТИКА 6 КЛАСС БЫСТРЕЕ ПОЖАЛУЙСТА ФОТО ВНИЗУ
Приложения:
Ответы
Автор ответа:
1
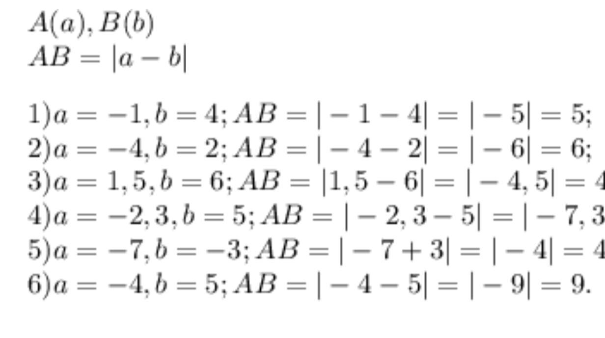
Відповідь:
Смотри снизу
Приложения:
Похожие вопросы
Предмет: История,
автор: mobm10876
Предмет: Английский язык,
автор: rayimbekovasagdiyona
Предмет: Литература,
автор: aaaaaaaaaki
Предмет: Литература,
автор: kozlovgleb33
Предмет: Алгебра,
автор: Noitsvika