Предмет: Алгебра,
автор: ulaserduk0
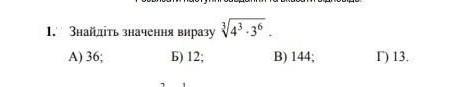
знайти значення виразу
Приложения:
Ответы
Автор ответа:
0
Ответ и решение на фотографии
Приложения:
Похожие вопросы
Предмет: Українська мова,
автор: kseniarosma
Предмет: Литература,
автор: nataliyamirgorod
Предмет: История,
автор: Аноним
Предмет: Математика,
автор: dslovemarvel
Предмет: Биология,
автор: Richard200866