Предмет: Алгебра,
автор: Аноним
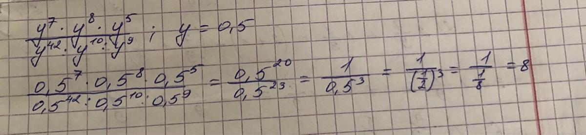
Хелпаните плиз даю 30 баллов за 1задание (Желательно на листочке)
Приложения:
Ответы
Автор ответа:
1
Вот ответ, надеюсь понятно и правильно)
Приложения:
Похожие вопросы
Предмет: Литература,
автор: anatello101112
Предмет: Математика,
автор: Deonkar
Предмет: Английский язык,
автор: dmitrijrozuvaev82
Предмет: Биология,
автор: Damepoon1234
Предмет: Другие предметы,
автор: Аноним