Предмет: Алгебра,
автор: zhasik172
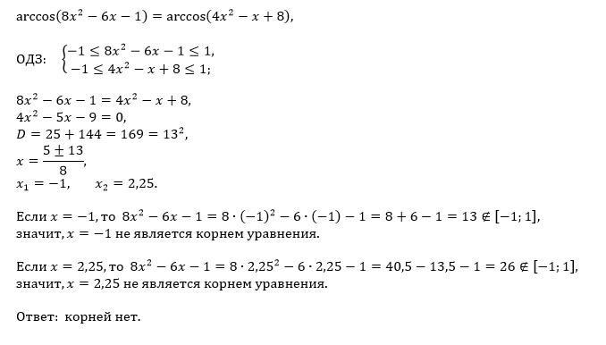
Решите уравнение: arccos(8x2 - 6x - 1) = arccos(4x2 - x + 8).
Ответы
Автор ответа:
6
Ответ:
на картинке. .
Объяснение:
Приложения:
Milan567:
Училка сказала неправильно там корень должен быть
Похожие вопросы
Предмет: Экономика,
автор: FoxQB
Предмет: Математика,
автор: Bakegrandesvermest5
Предмет: Музыка,
автор: asaenko372
Предмет: Математика,
автор: dinaraahunova1
Предмет: Қазақ тiлi,
автор: Аноним