Предмет: Алгебра,
автор: bbdnf5zrkc
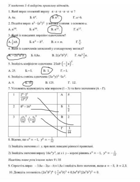
Плиисссссс очень нужно
Приложения:
Ответы
Автор ответа:
1
Зробив що зміг, прости :(
Приложения:
Похожие вопросы
Предмет: Українська мова,
автор: karolina6371
Предмет: История,
автор: mihalcukandriy3
Предмет: Українська література,
автор: vynohradovm
Предмет: Қазақ тiлi,
автор: romanovsa4