Предмет: Алгебра, автор: levchenko123vikki

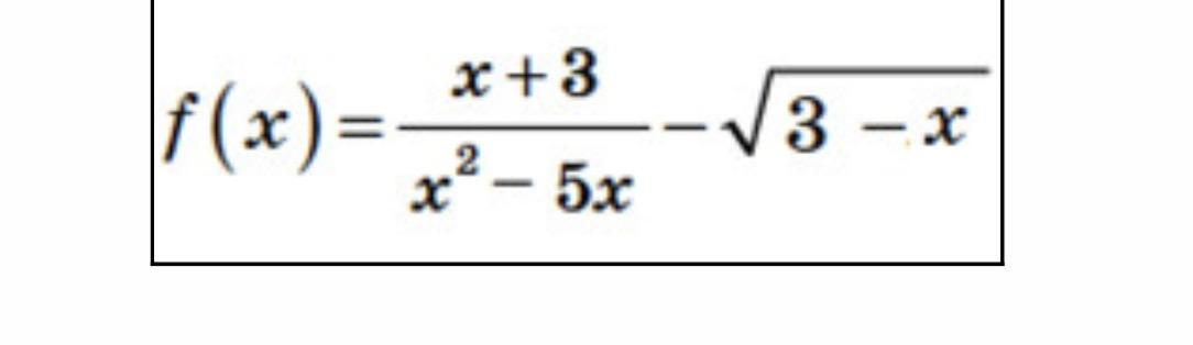
ПРОШУ ДАЮ 50 БАЛЛІВ : Знайдіть область визначення функції

Приложения:

Ответы

Автор ответа: 7x8
0

Ответ:

(-\infty;0)\cup(0;3]

Объяснение:

1.

x^2-5x\neq 0\\\\x(x-5)\neq 0\\\\x\neq0\ \ \ \ \ \ \ \ \ \ x-5\neq 0\\\\.\ \ \ \ \ \ \ \ \ \ \ \ \ \ \ \ \ x\neq 5

2.

3-x\geq 0\\\\-x\geq -3\ \ \ |:(-1)\\\\x\leq 3

\underline {x\in(-\infty;0)\cup(0;3]}

Похожие вопросы
Предмет: Английский язык, автор: nadiykachorna
Предмет: Математика, автор: Аноним