Предмет: Алгебра,
автор: qwzxia
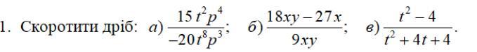
скоротити дріб ) буду рада
Приложения:
Ответы
Автор ответа:
1
Ответ:
а) 15t²p⁴/-20t⁸p³=3p/-4t⁶
б) 18xy-27x/9xy= 9x*(2y-3)/9xy=2y-3/y
в) t²-4/t²+4t+4= (t-2)(t+2)/(t+2)²=(t-2)/(t+2)
Похожие вопросы
Предмет: Физкультура и спорт,
автор: imanovelar514
Предмет: Английский язык,
автор: zhannakanatbai12
Предмет: История,
автор: privetxt
Предмет: Химия,
автор: aghueudwqojfrc
Предмет: Русский язык,
автор: Аноним