Предмет: Алгебра,
автор: svitelskijtima
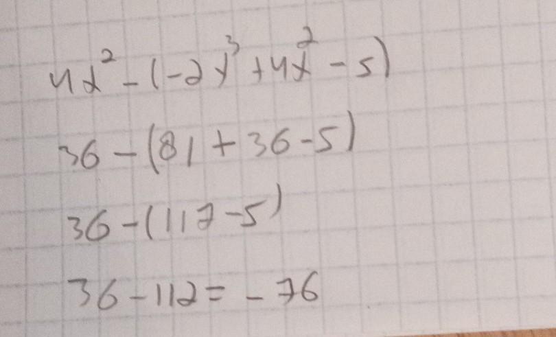
6) 4x ^ 2 - (- 2x ^ 3 + 4x ^ 2 - 5) якmo x = - 3 обчсилити вираз
Ответы
Автор ответа:
0
Ответ:
To evaluate the expression 4x^2 - (-2x^3 + 4x^2 - 5) when x = -3, substitute -3 for x in the expression:
4(-3)^2 - (-2(-3)^3 + 4(-3)^2 - 5)
Simplifying further:
4(9) - (-2(-27) + 4(9) - 5)
36 - (54 + 36 - 5)
36 - (90 - 5)
36 - 85
-49
Therefore, the value of the expression 4x^2 - (-2x^3 + 4x^2 - 5) when x = -3 is -49.
Автор ответа:
0
Объяснение:
Подставляет вместо Х если степень учётная знак остается
Приложения:
Похожие вопросы
Предмет: Физика,
автор: tomura6401
Предмет: Английский язык,
автор: lerasteshenko2013
Предмет: Математика,
автор: dzhafaribragimov2008
Предмет: История,
автор: invokerkea
Предмет: Алгебра,
автор: Angelina6748