Предмет: Математика,
автор: bibab4470
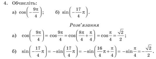
Помогите пожалуйста, с вычислением
Приложения:
Ответы
Автор ответа:
0
Ответ:
Только
Пошаговое объяснение:
Приложения:
Похожие вопросы
Предмет: Другие предметы,
автор: senekaseka
Предмет: Химия,
автор: 64524
Предмет: Английский язык,
автор: khidoyatovumar0
Предмет: Химия,
автор: Wuikan
Предмет: Математика,
автор: maria2154