Предмет: Алгебра, автор: fctdgsygfdhngfxzgsac

Знайти границі послідовностей.

Приложения:

Ответы

Автор ответа: NNNLLL54
1

Ответ:

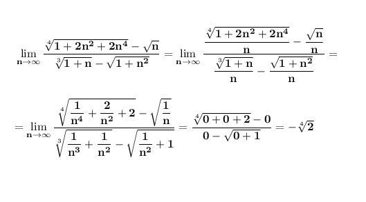
Делим числитель и знаменатель дроби на старшую степень  n  .

\bf \lim\limits_{n \to \infty}\dfrac{\sqrt[4]{\bf 1+2n^2+2n^4}-\sqrt{n}}{\sqrt[3]{\bf 1+n}-\sqrt{1+n^2}}=\lim\limits_{n \to \infty}\dfrac{\dfrac{\sqrt[4]{\bf 1+2n^2+2n^4}}{n}-\dfrac{\sqrt{n}}{n}}{\dfrac{\sqrt[3]{\bf 1+n}}{n}-\dfrac{\sqrt{1+n^2}}{n}}=\\\\\\=\lim\limits_{n \to \infty}\dfrac{\sqrt[4]{\bf \dfrac{1}{n^4}+\dfrac{2}{n^2}+2}-\sqrt{\dfrac{1}{n}}}{\sqrt[3]{\bf \dfrac{1}{n^3}+\dfrac{1}{n^2}}-\sqrt{\dfrac{1}{n^2}+1}}=\dfrac{\sqrt[4]{\bf 0+0+2}-0}{0-\sqrt{0+1}}=-\sqrt[4]{\bf 2}                  

Приложения:

fctdgsygfdhngfxzgsac: спасибо большое)
Похожие вопросы