Предмет: Алгебра,
автор: algebrapomri
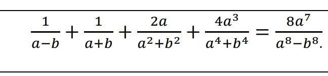
Доведіть тотожність
Приложения:
Ответы
Автор ответа:
0
Объяснение:
ржижищвгвшсзгсшххшххш
Приложения:
Похожие вопросы
Предмет: Алгебра,
автор: veramatrizaeva
Предмет: Биология,
автор: mark908522
Предмет: Математика,
автор: Аноним
Предмет: Литература,
автор: yogap29215
Предмет: Қазақ тiлi,
автор: aidanasali2