Предмет: Математика,
автор: Толян777
Ответы
Автор ответа:
0
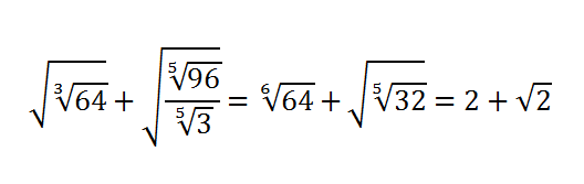
по идеи, решение вот такое
Приложения:
Автор ответа:
0
2+корень числа2...............
Приложения:
Похожие вопросы
Предмет: История,
автор: maknovm
Предмет: История,
автор: tkacevaviktoria60
Предмет: География,
автор: dana2805om
Предмет: Литература,
автор: ertffds
Предмет: Алгебра,
автор: Дана9900