Предмет: Алгебра,
автор: Аноним
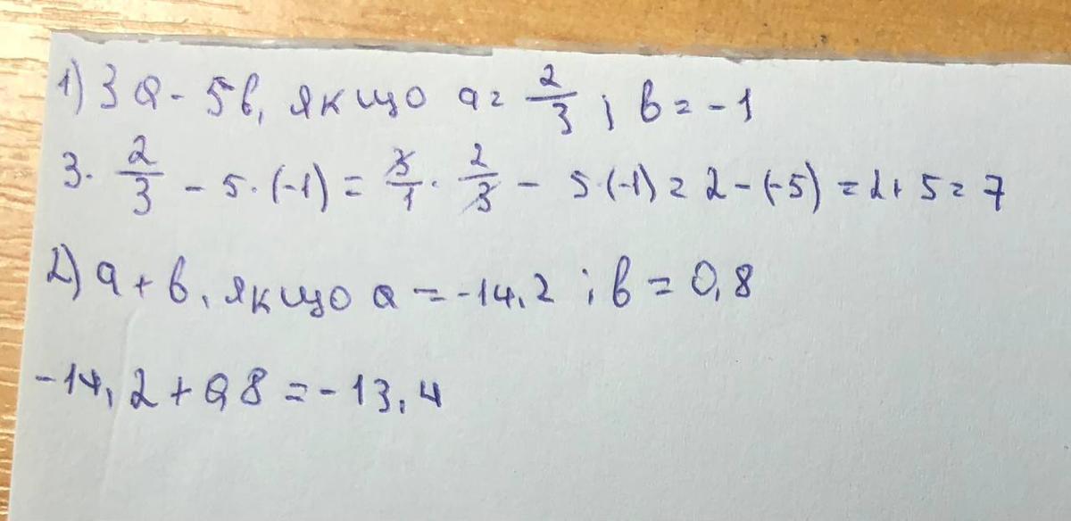
Допоможіть будь ласка! 1. Обчисли значення виразу.
а) 3a – 5b, якщо a = 2/3; b=-1
3a – 5b =
б) a + b, якщо a = –14,2; b = 0,8;
Приложения:
Ответы
Автор ответа:
0
Ответ:
Салом ргрлрлвовшвовлвлв
Приложения:
Автор ответа:
0
відповідь на фото, сподіваюсь зрозуміло
Приложения:
Похожие вопросы
Предмет: История,
автор: vladislavavernigora0
Предмет: Литература,
автор: jli88y
Предмет: Українська мова,
автор: Overtqwert
Предмет: Физика,
автор: dianarakhmet
Предмет: Математика,
автор: Аноним