Предмет: Химия,
автор: aminamuslima20ykt
1.Составьте формулы и высчитайте число атомов калий-три-це-о-четыре; Натрий - два - эс - о - четыре; Феррум-эн-о-три-дважны; Кальций-силициум-о-три; Це-о-два; Алюминий-два-эн-о-три-трижды.
2. Определите качественный и количественный состав веществ по следующим формулам: N²O, Ag³,PO⁴,Cr(OH)³,O³,H²SO³,K²CO³.
3.Напишите химические формулы,если известно,что в их состав входят: а) атом железа и три атома хлора; б)два амтома люминия и три атома кислорода; в)атом кальция, атом углерода и при атома кислорода. Вычислите относительную молекулярную массу вещества.
4.Вычислите относительную молекулярную массу следующих веществ: а) сахар _С¹²Н²²О¹¹; б) уксусная кислота СН³СООН; в) метан (основное составляющее природного газа) – СН⁴.
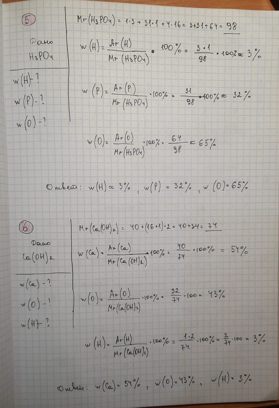
5.Вычислите массовые долины элементов в процентах по формуле: Аш - при - пе - о - четыре (ортофосфорная кислота).
6.Вычислите массовые доли элементов в процентах по формуле: Са(ОН)²- гидроксид кальция.
ПОМОГИТЕ ПОЖАЛУЙСТА СРОЧНО Я 50 БАЛЛОВ ОТДАМ!!!!
Ответы
Автор ответа:
1
задание 5 и 6
смотри на фото
Приложения:
aminamuslima20ykt:
спасибо
Похожие вопросы
Предмет: Литература,
автор: steamakeonpvp
Предмет: География,
автор: sabyrkralaj
Предмет: Литература,
автор: sofiiapoluianova11
Предмет: Математика,
автор: Аноним
Предмет: Математика,
автор: lizakurinova