Предмет: Алгебра,
автор: danik2akaynt
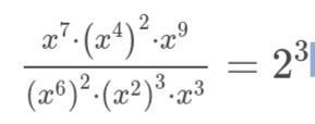
Розв'язати рівняння:
(Знайти Х)
СРОЧНО ДАЮ 30Б
Приложения:
Ответы
Автор ответа:
0
Ответ:
x=2
Обьяснениє:
Приложения:
Похожие вопросы
Предмет: Химия,
автор: alinakenessov
Предмет: Українська мова,
автор: Soobinnii
Предмет: Биология,
автор: fartuhvadum
Предмет: Русский язык,
автор: hanifa2912
Предмет: Русский язык,
автор: lizkaa88