Предмет: Алгебра,
автор: stteaamm9
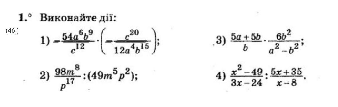
ДАЮ 50 БАЛООВ!!!
СРОЧНООО
Приложения:
storozenkoaroslav032:
Можешь сказать название учебника?
Ответы
Автор ответа:
1
Объяснение:
последное не понимаю не знаю украинский
Приложения:
Похожие вопросы
Предмет: История,
автор: ksadykova298392
Предмет: Алгебра,
автор: nadezhdacompas
Предмет: Қазақ тiлi,
автор: beisenovjangir
Предмет: Русский язык,
автор: chumak020820