Предмет: Алгебра,
автор: Nambe1
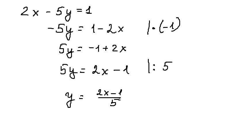
как выразить Y через x. подскажите как выразить у через х в линейном уравнении 2x-5y=1
Ответы
Автор ответа:
0
Если понравилось решение - нажимай "спасибо" и "лучший" (рядом с кнопкой "спасибо") :)
Приложения:
Похожие вопросы
Предмет: Русский язык,
автор: bolatmenesov017
Предмет: Геометрия,
автор: petrov20336
Предмет: Физика,
автор: Аноним
Предмет: Алгебра,
автор: Аноним
Предмет: Обществознание,
автор: Ирусик1996анапа