Предмет: Математика,
автор: uslusarenko58
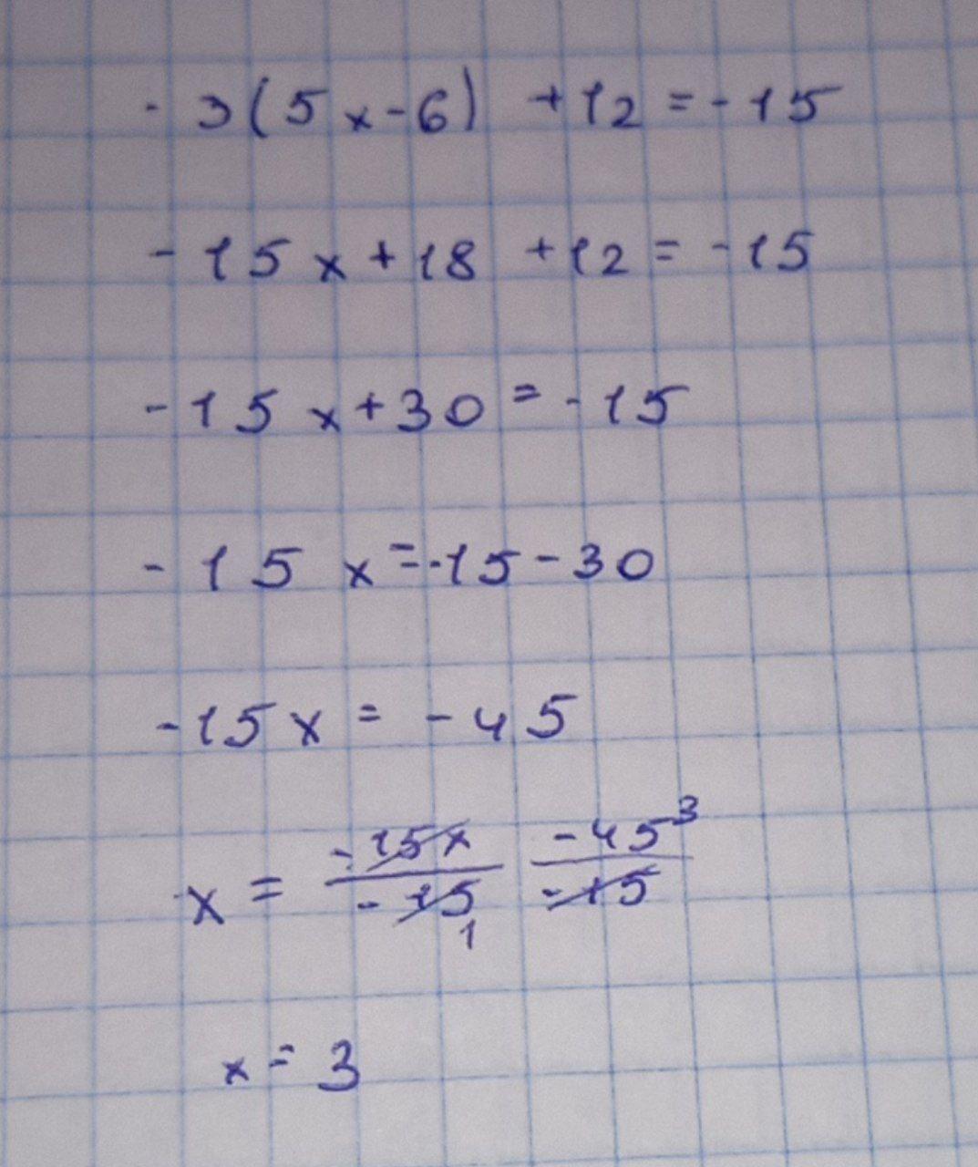
-3(5х-6)+12=-15 допоможіть точно треба
Ответы
Автор ответа:
2
Ответ:
Пошаговое объяснение:
Приложения:
Похожие вопросы
Предмет: История,
автор: businessaccnikaann
Предмет: Математика,
автор: annavakaluk87
Предмет: Алгебра,
автор: Gachayuana4ka
Предмет: Математика,
автор: amirhanknazbaev
Предмет: Информатика,
автор: lilcheater2019