Предмет: Алгебра,
автор: alimkulovaaya2007
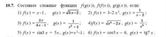
Срочно дам 50 баллов
Приложения:
Ответы
Автор ответа:
0
Відповідь:Оцініть значення виразу 4a -3b , якщо 10 < a < 15 і 6< b <9.
Пояснення:Оцініть значен-3b , якщо 10 < a < 15 і 6< b <9.
Похожие вопросы
Предмет: Литература,
автор: SvardakSlava
Предмет: Алгебра,
автор: Balera2a
Предмет: Русский язык,
автор: gulzhamal11071993
Предмет: Музыка,
автор: miamil
Предмет: Геометрия,
автор: Кира200800