Предмет: Алгебра,
автор: 0102matthew
С відкритим поясненням
Приложения:
Ответы
Автор ответа:
0
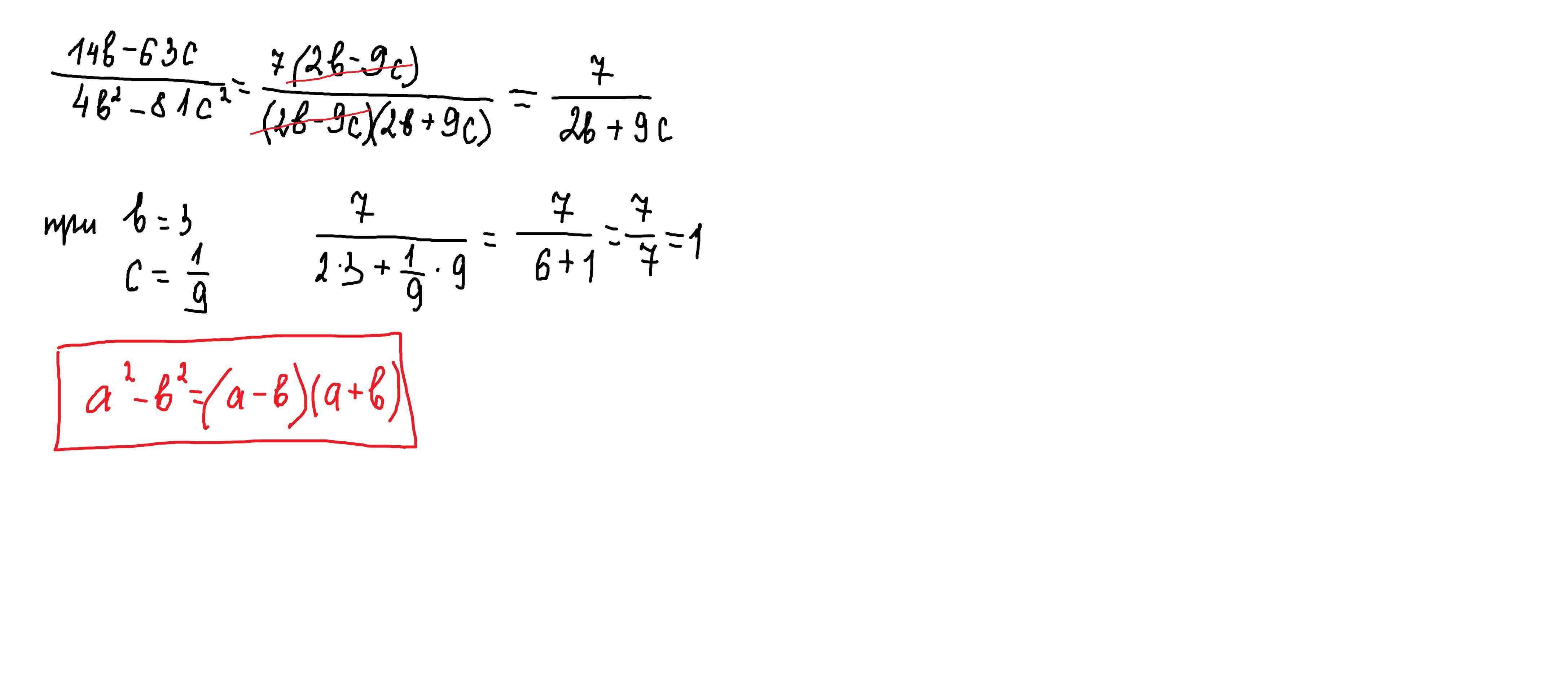
Ответ:
1
Объяснение:
решение внизу.в знаменателе применяем формулу разность квадратов,она внизу красным цветом
Приложения:
Похожие вопросы
Предмет: Литература,
автор: vodnafreind
Предмет: Английский язык,
автор: maridmitrievam
Предмет: Математика,
автор: irakotliar079
Предмет: История,
автор: Аноним
Предмет: Литература,
автор: Čøşmøş