Предмет: Алгебра,
автор: artemvovka77
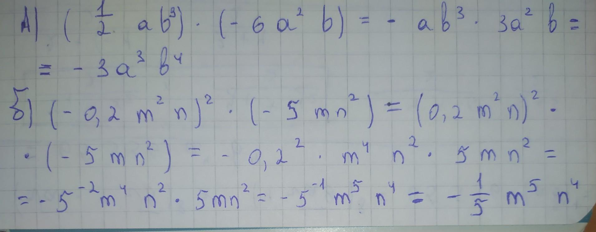
Спростить вираз:
А)(1/2ab³)×(-6a²b)
б)(-0,2m²n)²×(-5mn²)
Ответы
Автор ответа:
3
фото...............,.......
Приложения:
Похожие вопросы
Предмет: Информатика,
автор: kitakpaevaamina79
Предмет: Алгебра,
автор: Аноним
Предмет: Английский язык,
автор: duyunsofya
Предмет: Алгебра,
автор: NiNic356
Предмет: Алгебра,
автор: atimonina1114