Предмет: Алгебра,
автор: saskaden3
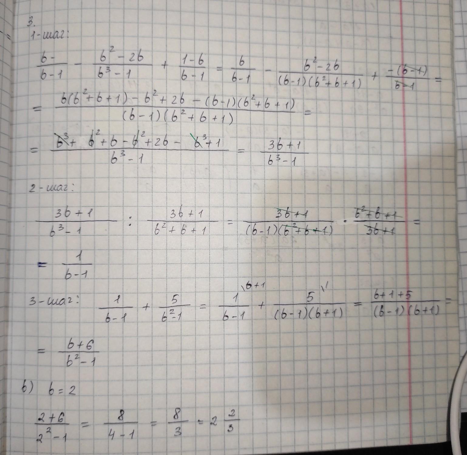
Помогите пожалуйста с Алгеброй
Приложения:
Ответы
Автор ответа:
0
Ответ:
..........................
Приложения:
Похожие вопросы
Предмет: История,
автор: m1kantsum1k1
Предмет: Українська література,
автор: s63583708
Предмет: История,
автор: Ivankalivanueban
Предмет: Математика,
автор: erbolatnurzhas0
Предмет: Математика,
автор: guldentuspekova56