Предмет: Математика,
автор: math122
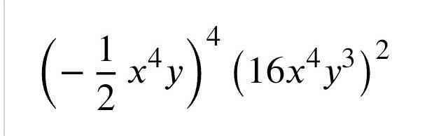
Спростити вираз (- 1/2 * x ^ 4 * y) ^ 4 * (16x ^ 4 * y ^ 3) ^ 2
Приложения:
Ответы
Автор ответа:
5
Ответ:
Пошаговое объяснение:
=1/16х¹⁶у⁴×256х⁸у⁶=16х²⁴у¹⁰.
math122:
/ це ділення?
Это дробь
Похожие вопросы
Предмет: Математика,
автор: tompanikita0
Предмет: Українська мова,
автор: valeriakorbut25
Предмет: Математика,
автор: Аноним
Предмет: Литература,
автор: DicKeyT