Предмет: Алгебра,
автор: zhenja85
помогите пожалуйста срочно
Приложения:
Ответы
Автор ответа:
0
Я не знаю проходили ли вы уже замену
Приложения:
Nausy:
После решите уравнение напиши «замена x^2=t,
Автор ответа:
0
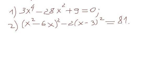
1) х1= 3; х2=-3; х3= -(корень из 3)/ 3; х4= (корень из 3)/3
2) х1= 3-2корня из 5; х2= 3+2корня из 5;
х3= 3
2) х1= 3-2корня из 5; х2= 3+2корня из 5;
х3= 3
Похожие вопросы
Предмет: Окружающий мир,
автор: Аноним
Предмет: История,
автор: MVikycia
Предмет: Химия,
автор: natalabilous67
Предмет: Русский язык,
автор: nemiyt16
Предмет: Химия,
автор: smukovicsofia32