Предмет: Алгебра,
автор: ggigroniys
50 БАЛОВ ХЕЛП ПЛИИИИЗ
Приложения:
Ответы
Автор ответа:
1
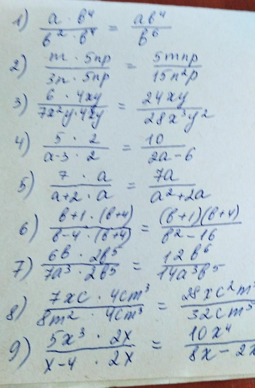
решение на фото)))))))))))))
Приложения:
ggigroniys:
помоги пожалуйста с другими заданиями в прфиле
Похожие вопросы
Предмет: Физика,
автор: kuznecovadanie79
Предмет: Английский язык,
автор: aroslavahramcova005
Предмет: Українська мова,
автор: i8742458
Предмет: Английский язык,
автор: imasha210807
Предмет: Математика,
автор: coconutplay19