Предмет: Алгебра,
автор: ostapsvichar11
Розв'яжіть срочно дам 20 балів
Приложения:
Ответы
Автор ответа:
1
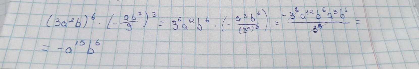
Ответ: -a корень15 b корень 12
Объяснение:
Автор ответа:
2
Ответ:
Решение на фото!! Надеюсь помогла^^
Объяснение:
1) Возводим в степень
2) перемножаем
3) скоращаем
4) и снова перемножаем
Приложения:
ostapsvichar11:
дякую
Похожие вопросы
Предмет: Физика,
автор: bokiia
Предмет: Алгебра,
автор: lizasoma67
Предмет: Алгебра,
автор: Llllu
Предмет: Русский язык,
автор: fjgjjgh
Предмет: Английский язык,
автор: AnnaBedryk