Предмет: Алгебра,
автор: arzu18463
ПОМОГИТЕ! СРОЧНО!!!!
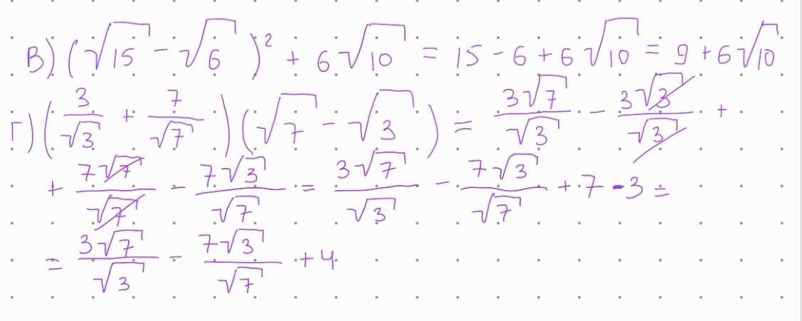
Дам 20 баллов! Мне нужны в и г.
только с решением пожалуйстаа!!
Приложения:
Ответы
Автор ответа:
2
Ответ:
ррррррррррррррррррррррр
Приложения:
Похожие вопросы
Предмет: Геометрия,
автор: mpekka025
Предмет: География,
автор: artemkovalenok2010
Предмет: Українська мова,
автор: vereneia2012
Предмет: Литература,
автор: Sabinanka666