Предмет: Алгебра,
автор: duplikulana2
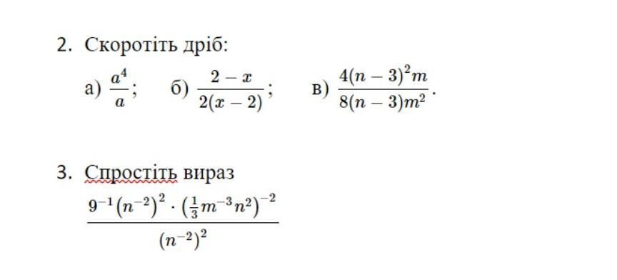
помогите пожалуйста, срочно, даю 50 баллов
Приложения:
Ответы
Автор ответа:
1
Надеюсь помогла)))))
Приложения:
Похожие вопросы
Предмет: Немецкий язык,
автор: pupil4v32
Предмет: История,
автор: tasikdetuk
Предмет: География,
автор: irena22222r
Предмет: Математика,
автор: skim001063
Предмет: Химия,
автор: MALTON45